By using our services, you agree to our terms of use

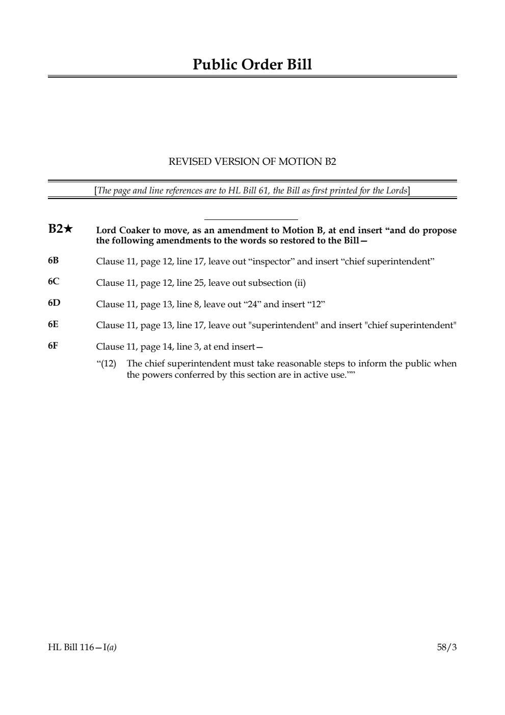
Public Order Bill Revised version motion B2


Public Order Bill Revised version motion B2

Parliament
UK Parliament
Session
2022-2023
Category
House of Lords Bills and Amendments
Number
HLB 116 I a
Publication Date
15th March 2023
Publisher
Dandy Booksellers
Published under ISBN
9781804923184
Hardcopy Price
£2.00
 
 
Add & Continue Shopping
Add & Checkout